
Aha! pro ženy je společenský týdeník pro ženy, který informuje o dění v showbyznysu, přináší skutečné příběhy ze života včetně komentářů a rad odborníků. Součástí je i speciální příloha NÁPADník, ve které čtenářky naleznou kreativní rady, tipy a nápady na zvelebení domova.
Aktuální vydání si můžete prohlédnout v iKiosku.
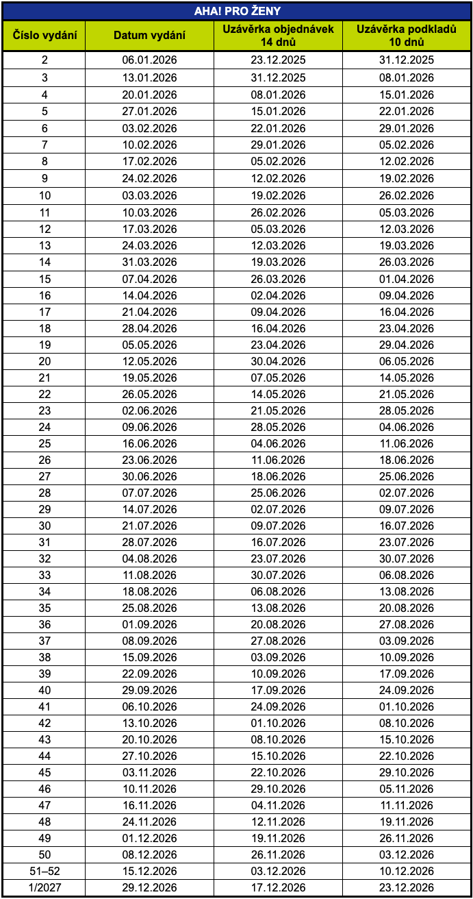
Data vydání a uzávěrek, stejně jako aktuální ceník najdete v přílohách.
88 430
18 364
18,90 Kč
týdeník
48 %
65 %
44 %
42 %
95 %
Kontaktujte náš obchodní tým a získejte více informací o možnostech inzerce
Kontaktujte nás